Quantum confinement fundamentally changes how electrons behave. Take
a bulk semiconductor and squeeze it down to a quantum well, then to a
quantum wire, and finally to a quantum dot, and youβll watch the smooth
density of states transform into discrete energy levels. This
progression from continuous bands to atomic-like spectra isnβt just
theoretical, itβs the physics behind everything from LEDs to quantum
computers. For a solid-state physics course project, I built a complete
band structure calculator in Mathematica that visualizes this
transformation by computing Brillouin zones, plotting band structures
along high-symmetry paths, and calculating density of states for systems
confined in 0, 1, 2, and 3 dimensions. The project revealed how
reciprocal space geometry directly determines electronic properties, and
how Voronoi tessellations, purely mathematical constructs, map perfectly
onto physical Brillouin zones. Mathematicaβs symbolic and geometric
capabilities made it natural to work with these abstractions, turning
graduate-level solid-state physics into interactive visualizations I
could manipulate and explore.
The challenge of understanding electronic band structure begins with
reciprocal space. While real space describes where atoms sit in a
crystal, reciprocal space (or k-space) describes the allowed momentum
states for electrons. The first Brillouin zone (1BZ) is the fundamental
domain in k-space, analogous to a unit cell in real space. For a
body-centered cubic (bcc) lattice, the 1BZ has a characteristic
truncated octahedral shape. By calculating energy eigenvalues along
high-symmetry paths through this zone and sampling the full volume, we
can understand how quantum confinement affects electronic structure.
My whole collection of Mathematica Notebook files is available at
this link.
Constructing the Brillouin
Zone
The foundation is the reciprocal lattice. For a bcc crystal with
real-space basis vectors, the reciprocal lattice is face-centered cubic
(fcc). I define the basis for the reciprocal lattice:
basis = {{1, -1, 1}, {1, 1, -1}, {-1, 1, 1}}
These vectors generate the reciprocal lattice points (G-vectors)
through integer linear combinations. To construct the first Brillouin
zone, I generate all reciprocal lattice points within a reasonable range
and compute the Voronoi tessellation:
gvecs = Tuples[Range[-7, 7], 3].basis
vmesh = VoronoiMesh[gvecs]
The Voronoi cell centered at the origin is the first Brillouin zone.
This construction has a beautiful geometric interpretation: the 1BZ
consists of all points in k-space closer to the origin than to any other
reciprocal lattice point. The Voronoi tessellation automatically finds
this region by constructing perpendicular bisecting planes between the
origin and neighboring G-points.

The resulting 3D mesh shows the characteristic shape of the bcc
Brillouin zone. The mesh contains 3375 reciprocal lattice points, and
the Voronoi construction identifies the interior region that forms the
1BZ. The volume of this zone is exactly 4 cubic units in reciprocal
space, which can be verified with
RegionMeasure[firstBz].
Band Structure Along
High-Symmetry Paths
Electronic band structure is traditionally plotted along paths
connecting high-symmetry points in the Brillouin zone. These points have
special labels rooted in group theory:
is the zone center,
,
,
,
,
and
are points on zone faces, edges, and corners. The conventional path for
bcc crystals follows:
This path can be broken into segments:
-
(outer boundary sweep)
-
(inner loop)
-
(connecting high-symmetry edges)
I define these points in fractional coordinates:
path = {
Ξ = {0, 0, 0},
X = {0, 1, 0},
W = {1/2, 1, 0},
L = {1/2, 1/2, 1/2},
K = {3/4, 3/4, 0},
U = {1/4, 1, 1/4}
}
To compute the band structure, I sample 15 points along each segment
of the path and calculate energy eigenvalues at each k-point. For a
simple nearest-neighbor tight-binding model, the energy dispersion
is:
This is essentially a free-electron model with periodic boundary
conditions imposed by the reciprocal lattice. The implementation
computes the distance from each k-point to all G-vectors and uses the
squared norm as the energy:
kpts = Subdivide[#1, #2, n] & @@@ Partition[path, 2, 1] //
Flatten[#, 1] & // DeleteAdjacentDuplicates
enrgs = With[{pairs = Tuples[{kpts, gvecs}] // Partition[#, Length@gvecs] &},
Norm[#1 - #2]^2 & @@@ # & /@ pairs // Transpose
]
The calculation generates all k-point and G-vector pairs, computes
the energy for each pairing, and transposes the result to group energies
by k-point. This gives us multiple energy bands (each corresponding to a
different G-vector) as functions of position along the path.


The band structure shows the characteristic features of a periodic
potential. Bands cross and form avoided crossings, reflecting the
symmetry of the underlying lattice. Energy gaps appear where bands do
not overlap, corresponding to forbidden energy ranges. The colorful
lines each represent a different band, and the horizontal axis traces
the path through k-space from
to
to
to
to
and so on.
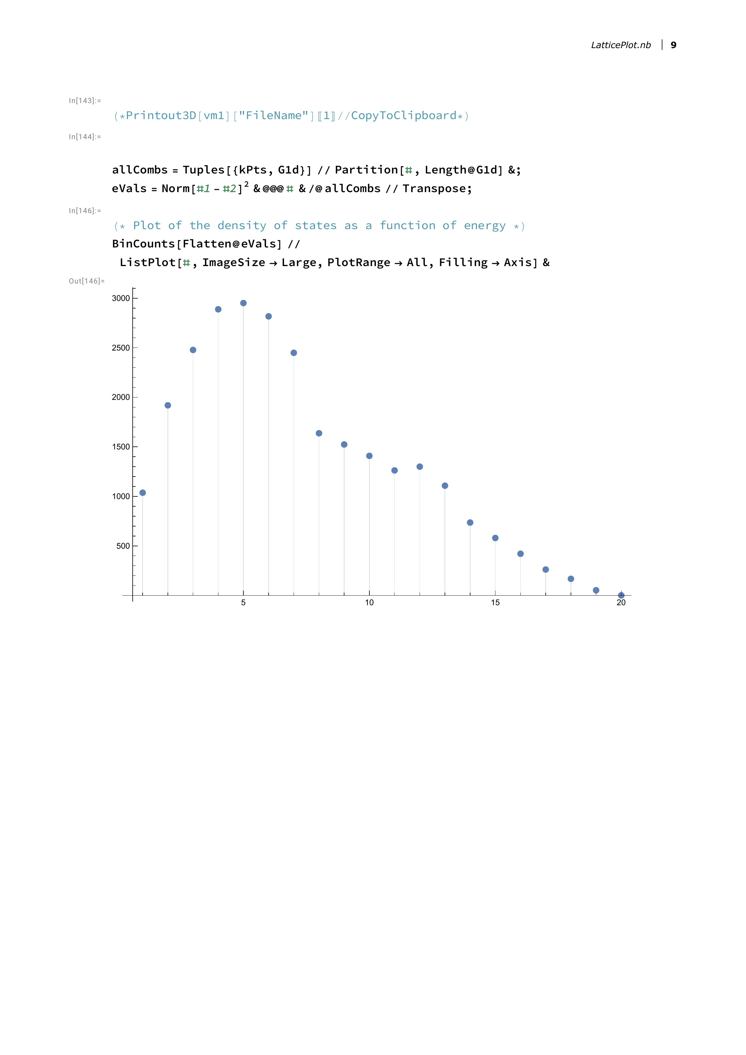
Density of States in
Three Dimensions
The density of states (DOS) tells us how many electronic states exist
at each energy level. Rather than plotting energy as a function of k, we
ask: for a given energy
,
how many k-points have that energy? To compute this, I sample the
Brillouin zone uniformly with random points:
kpts = RandomPoint[firstBz, 10^3]
For each sampled k-point, I compute the energy eigenvalues using the
same free-electron dispersion. The DOS is then the histogram of these
energies:
BinCounts[Flatten@enrgs] //
ListLinePlot[#, ImageSize -> Large, Filling -> Axis, PlotRange -> All] &
The three-dimensional DOS for a free-electron gas follows the
well-known
dependence at low energies. This characteristic shape emerges from the
density of k-states in a sphere of radius
combined with the parabolic dispersion relation.


The smooth curve with
behavior is clearly visible. At higher energies, deviations appear due
to the finite size of the Brillouin zone and the discreteness of the
reciprocal lattice. The peak near energy 100 and the subsequent decay
reflect the band structure features we saw earlier.
Quantum Confinement: From 3D
to 2D
The power of this framework becomes apparent when we introduce
quantum confinement. A quantum well confines electrons in one direction
while allowing free motion in the other two. In k-space, this
corresponds to restricting the reciprocal lattice to a slab. I implement
this by filtering G-vectors:
gidx = Select[Tuples[Range[-9, 9], 3], Abs[#[[3]]] <= n &]
gv2d = gidx.basis2d
The parameter n = 1 limits the third component of the
reciprocal lattice vectors, creating a confined system. The Voronoi mesh
now forms a slab geometry. The structure is clearly two-dimensional:
extended in the xy-plane but confined in z. This is the reciprocal space
representation of a quantum well. The energy calculation proceeds
identically, but now with the reduced set of G-vectors:
pairs = Tuples[{kpts, gv2d}] // Partition[#, Length@gv2d] &
enrgs = Norm[#1 - #2]^2 & @@@ # & /@ pairs // Transpose
The resulting density of states is fundamentally different:

The 2D DOS shows a plateau region at low energies rather than the
growth. This is the hallmark of two-dimensional systems: the density of
states becomes constant,
,
because the area of a circle in k-space grows as
but the density of k-states per unit area is constant. The step-like
features reflect the quantized subbands in the confined direction.
One-Dimensional Quantum
Wires
Continuing the confinement progression, a quantum wire restricts
motion to a single dimension. In reciprocal space, this means selecting
G-vectors that satisfy:
gidx = Select[Tuples[Range[-14, 14], 3],
#[[3]] <= n && #[[3]] >= -n && #[[2]] <= n && #[[2]] >= -n &]
gv1d = gidx.basis1d
Both the second and third components are restricted, leaving only
variation along one axis. The Voronoi mesh becomes a one-dimensional
chain:

This elongated structure represents the allowed k-states in a quantum
wire. Electrons can move freely along the wire axis but are confined in
the perpendicular directions. The density of states for this system
shows another dramatic change:

The 1D DOS exhibits sharp peaks and a characteristic
divergence at subband edges. This Van Hove singularity is a fundamental
feature of one-dimensional systems: as energy approaches the bottom of a
subband, the density of states diverges because
at band extrema. The physical consequence is that electrons pile up at
these energies, leading to strong optical absorption and other
pronounced quantum effects.
Zero-Dimensional Quantum
Dots
The ultimate limit of confinement is a quantum dot: electrons
confined in all three dimensions. This corresponds to selecting only a
small region of reciprocal space:
gidx = Select[Tuples[Range[-3, 3], 3],
Abs[#[[3]]] <= n && Abs[#[[2]]] <= n && Abs[#[[1]]] <= n &]
gv0d = gidx.basis0d
With n = 1, this selects only the nearest G-vectors,
creating a discrete set of points. The Voronoi mesh becomes a single
compact region. This finite polyhedron represents the entire allowed
k-space for a quantum dot. There is no continuous dispersion relation,
only discrete energy levels. The density of states becomes a series of
delta functions:

The discrete spikes are the signature of zero-dimensional
confinement. Each spike corresponds to a discrete energy eigenstate.
There are no bands, no continuous dispersion, just a ladder of quantized
levels like an artificial atom. This is why quantum dots are sometimes
called βartificial atomsβ: their electronic structure is fully
discrete.
The Physics of Confinement
The progression from 3D to 2D to 1D to 0D reveals a fundamental
principle: reducing dimensionality discretizes the density of states.
The mathematical reason is clear from our construction. In three
dimensions, we integrate over a continuous Brillouin zone volume, giving
a smooth DOS. Confining one dimension quantizes momentum in that
direction, turning an integral into a sum over discrete quantum numbers.
Each additional confined dimension removes another integral, until in
zero dimensions we are left with purely discrete states.
The physical consequences are profound. In bulk semiconductors (3D),
electrons and holes form a continuum of states with smooth band edges.
In quantum wells (2D), the DOS plateaus create enhanced exciton binding
and improved laser efficiency. In quantum wires (1D), the Van Hove
singularities lead to extremely strong light-matter coupling. In quantum
dots (0D), the discrete spectrum enables single-photon sources and
qubits.
The energy scale of these effects depends on the confinement length.
For a particle in a box of size
,
the quantum confinement energy is:
Smaller confinement (smaller
)
pushes energy levels higher and increases their spacing. Modern
nanofabrication can create quantum wells with
of tens of nanometers, quantum wires with
of a few nanometers, and quantum dots with
below 10 nm. At these scales, confinement energies reach tens to
hundreds of meV, well above thermal energy at room temperature.
Implementation and
Visualization
One of the most satisfying aspects of this project was seeing the
mathematical abstraction of reciprocal space become concrete through
visualization. Mathematicaβs VoronoiMesh function handles
the geometric construction of Brillouin zones elegantly. The function
takes a set of points (the reciprocal lattice) and computes the
tessellation automatically:
vmesh = VoronoiMesh[gvecs]
hmesh = HighlightMesh[vmesh, Style[2, Directive[Red]]]
bzone = MeshRegion[MeshCoordinates[hmesh], MeshCells[hmesh, {3, "Interior"}]]
This pipeline generates the mesh, highlights surfaces, and extracts
the interior region (the 1BZ). The resulting mesh can be exported as STL
files for 3D printing:
Export["firstBz.stl", firstBz, "STL"]
I generated STL files for the 3D, 2D, 1D, and 0D Brillouin zones,
creating physical models of reciprocal space geometry. Holding a
3D-printed Brillouin zone reinforces the reality of k-space: it is not
just a mathematical construction but a physical object with volume,
symmetry, and structure.
The energy calculations use functional programming patterns natural
to Mathematica. The key operation is computing distances from k-points
to G-vectors:
pairs = Tuples[{kpts, gvecs}] // Partition[#, Length@gvecs] &
enrgs = Norm[#1 - #2]^2 & @@@ # & /@ pairs // Transpose
Tuples[{kpts, gvecs}] creates all pairs of k-points and
G-vectors. Partition[#, Length@gvecs] & groups these
into blocks (one block per k-point, containing all G-vectors). The pure
function Norm[#1 - #2]^2 & computes the squared
distance, applied to each pair with @@@ (Apply at level 1).
The outer Map applies this to each k-point block, and
Transpose reorganizes the result into bands. This compact
expression replaces what would be nested loops in imperative
languages.
The density of states calculation uses BinCounts to
histogram the energies:
BinCounts[Flatten@enrgs] //
ListLinePlot[#, ImageSize -> Large, Filling -> Axis, PlotRange -> All] &
Flatten@enrgs collects all energies into a single list.
BinCounts automatically chooses bin sizes and counts how
many energies fall in each bin. The result is piped to
ListLinePlot for visualization. This functional composition
makes the intent clear: flatten, count, plot.
Building this band structure and density of states calculator
demonstrates how computational tools can make abstract quantum mechanics
tangible. The Brillouin zone is no longer just a diagram in a textbook
but a 3D object I can visualize, rotate, and even print. The density of
states is not just a formula but a curve I can compute, plot, and
understand through direct calculation.
The progression from bulk (3D) to quantum well (2D) to quantum wire
(1D) to quantum dot (0D) illustrates a fundamental principle of quantum
mechanics: confinement leads to discretization. Each additional confined
dimension removes a degree of freedom, replacing continuous bands with
discrete subbands, and smooth density of states with sharp peaks. This
is the physics underlying modern semiconductor nanostructures used in
lasers, LEDs, single-photon sources, and quantum computers.
Working through the implementation in Mathematica taught me to
appreciate the elegance of reciprocal space. The Voronoi construction
automatically finds the Brillouin zone. The high-symmetry points
naturally organize the band structure. The sampling and histogramming
directly compute the density of states. The mathematical framework and
the physical phenomena align perfectly.
The code itself is remarkably concise: a few dozen lines to define
lattice vectors, construct Voronoi meshes, sample k-points, compute
energies, and plot results. This conciseness is possible because the
abstractions match the physics. Reciprocal lattice vectors are just
matrices. The Brillouin zone is just a Voronoi cell. Energy bands are
just functions of k. Density of states is just a histogram. Good
abstractions make hard problems simple.
Most importantly, this project reinforced that computational physics
is not about replacing analytical understanding with numerical brute
force. It is about using computation to explore, visualize, and gain
intuition for systems too complex for closed-form solutions. The band
structures and DOS curves I generated are not approximations but exact
solutions (within the free-electron model). The visualizations are not
illustrations but actual data. Computation extends analytical physics,
revealing structure that equations alone cannot easily show.